Vítejte na Elektro Bastlírn?
Nuke - Elektro Bastlirna
  Vytvořit účet Hlavní · Fórum · DDump · Profil · Zprávy · Hledat na fóru · Příspěvky na provoz EB

Vlákno na téma KORONAVIRUS - nutná registrace


Nuke - Elektro Bastlirna: Diskuzní fórum

 FAQFAQ   HledatHledat   Uživatelské skupinyUživatelské skupiny   ProfilProfil   Soukromé zprávySoukromé zprávy   PřihlášeníPřihlášení 

Algebra

 
Přidat nové téma   Zaslat odpověď       Obsah fóra Diskuzní fórum Elektro Bastlírny -> Teorie
Zobrazit předchozí téma :: Zobrazit následující téma  
Autor Zpráva
kulikus



Založen: Dec 10, 2009
Příspěvky: 3085

PříspěvekZaslal: út září 17 2019, 8:31    Předmět: Algebra Citovat

Překvapilo mně krácení ve výrazu provedené zde. Aniž bych to rozsáhle zkoumal - je to přípustné zjednodušení nebo chyba?
_________________
pro mládež - Hamíkův koutek
Návrat nahoru
Zobrazit informace o autorovi Odeslat soukromou zprávu Zobrazit autorovy WWW stránky
tomasjedno



Založen: Oct 11, 2008
Příspěvky: 6577
Bydliště: ZZ9 Plural Z Alpha

PříspěvekZaslal: út září 17 2019, 8:57    Předmět: Citovat

Vzhledem k tomu, že to má celé blbě, nemá smysl zabývat se jedním konkrétním renoncem.

BTW, to video je neuvěřitelně hovadský způsob, jak prezentovat postup výpočtu.
Návrat nahoru
Zobrazit informace o autorovi Odeslat soukromou zprávu
Ivan_Ryger



Založen: Mar 02, 2005
Příspěvky: 1328
Bydliště: Urcene Heisenbergovym principom neistoty.

PříspěvekZaslal: út září 17 2019, 8:57    Předmět: Citovat

Ten asi chodil dlho do školy...
Návrat nahoru
Zobrazit informace o autorovi Odeslat soukromou zprávu Odeslat e-mail
kulikus



Založen: Dec 10, 2009
Příspěvky: 3085

PříspěvekZaslal: út září 17 2019, 9:04    Předmět: Citovat

tomasjedno napsal(a):
Vzhledem k tomu, že to má celé blbě, ...


Konkrétně, prosím. Jak to má vypadat a kde je první chyba ?

_________________
pro mládež - Hamíkův koutek
Návrat nahoru
Zobrazit informace o autorovi Odeslat soukromou zprávu Zobrazit autorovy WWW stránky
tomasjedno



Založen: Oct 11, 2008
Příspěvky: 6577
Bydliště: ZZ9 Plural Z Alpha

PříspěvekZaslal: út září 17 2019, 9:42    Předmět: Citovat

To po mně chceš, abych prohledával půlhodinové video?
Hledej si sám, jak odvodil výraz ve jmenovateli zlomku
1 + hiejω(Cbe+Cbc)Vbe
ve kterém první sčítanec je bezrozměrný a druhý má fyzikální rozměr Ampér.
Návrat nahoru
Zobrazit informace o autorovi Odeslat soukromou zprávu
masar



Založen: Dec 03, 2005
Příspěvky: 13896

PříspěvekZaslal: út září 17 2019, 10:16    Předmět: Citovat

kulikus napsal(a):
Překvapilo mně krácení ve výrazu provedené zde...
Pokud jsi myslel tohle, tak tam chybu nevidím.
Wink



krácení.png
 Komentář:
 Velikost:  6.67 kB
 Zobrazeno:  193 krát

krácení.png


Návrat nahoru
Zobrazit informace o autorovi Odeslat soukromou zprávu Odeslat e-mail
kulikus



Založen: Dec 10, 2009
Příspěvky: 3085

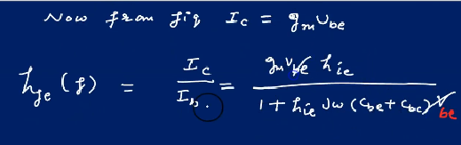
PříspěvekZaslal: út září 17 2019, 12:18    Předmět: Citovat

Myslím toto, problematické kráceni Vbe. Ale kouknul jsem o pár řádků zpět a jen mu ve jmenovateli chybí složená závorka před Vbe. Tento diskutovaný krok je tedy chyba zápisu, dál to sedí.


OdvozeniH21.png
 Komentář:
Odvozeni H21
 Velikost:  39.35 kB
 Zobrazeno:  185 krát

OdvozeniH21.png



_________________
pro mládež - Hamíkův koutek
Návrat nahoru
Zobrazit informace o autorovi Odeslat soukromou zprávu Zobrazit autorovy WWW stránky
masar



Založen: Dec 03, 2005
Příspěvky: 13896

PříspěvekZaslal: út září 17 2019, 14:13    Předmět: Citovat

Ano, jedny závorky tam chybí, ale operace je v pořádku.
Wink
Návrat nahoru
Zobrazit informace o autorovi Odeslat soukromou zprávu Odeslat e-mail
Zobrazit příspěvky z předchozích:   
Přidat nové téma   Zaslat odpověď       Obsah fóra Diskuzní fórum Elektro Bastlírny -> Teorie Časy uváděny v GMT + 1 hodina
Strana 1 z 1

 
Přejdi na:  
Nemůžete odesílat nové téma do tohoto fóra.
Nemůžete odpovídat na témata v tomto fóru.
Nemůžete upravovat své příspěvky v tomto fóru.
Nemůžete mazat své příspěvky v tomto fóru.
Nemůžete hlasovat v tomto fóru.
Nemůžete připojovat soubory k příspěvkům
Můžete stahovat a prohlížet přiložené soubory

Powered by phpBB © 2001, 2005 phpBB Group
Forums ©
Nuke - Elektro Bastlirna

Informace na portálu Elektro bastlírny jsou prezentovány za účelem vzdělání čtenářů a rozšíření zájmu o elektroniku. Autoři článků na serveru neberou žádnou zodpovědnost za škody vzniklé těmito zapojeními. Rovněž neberou žádnou odpovědnost za případnou újmu na zdraví vzniklou úrazem elektrickým proudem. Autoři a správci těchto stránek nepřejímají záruku za správnost zveřejněných materiálů. Předkládané informace a zapojení jsou zveřejněny bez ohledu na případné patenty třetích osob. Nároky na odškodnění na základě změn, chyb nebo vynechání jsou zásadně vyloučeny. Všechny registrované nebo jiné obchodní známky zde použité jsou majetkem jejich vlastníků. Uvedením nejsou zpochybněna z toho vyplývající vlastnická práva. Použití konstrukcí v rozporu se zákonem je přísně zakázáno. Vzhledem k tomu, že původ předkládaných materiálů nelze žádným způsobem dohledat, nelze je použít pro komerční účely! Tento nekomerční server nemá z uvedených zapojení či konstrukcí žádný zisk. Nezodpovídáme za pravost předkládaných materiálů třetími osobami a jejich původ. V případě, že zjistíte porušení autorského práva či jiné nesrovnalosti, kontaktujte administrátory na diskuzním fóru EB.


PHP-Nuke Copyright © 2005 by Francisco Burzi. This is free software, and you may redistribute it under the GPL. PHP-Nuke comes with absolutely no warranty, for details, see the license.
Čas potřebný ke zpracování stránky 0.16 sekund